메트로人 머니 산업 IT·과학 정치&정책 생활경제 사회 에듀&JOB 기획연재 오피니언 라이프 CEO와칭 플러스
글로벌 메트로신문
로그인
회원가입

    머니

  • 증권
  • 은행
  • 보험
  • 카드
  • 부동산
  • 경제일반

    산업

  • 재계
  • 자동차
  • 전기전자
  • 물류항공
  • 산업일반

    IT·과학

  • 인터넷
  • 게임
  • 방송통신
  • IT·과학일반

    사회

  • 지방행정
  • 국제
  • 사회일반

    플러스

  • 한줄뉴스
  • 포토
  • 영상
  • 운세/사주
정치
기사사진
[국내 10대 뉴스]통합진보당 헌정 사상 첫 정당 해산

[10대 뉴스]통합진보당 헌정 사상 첫 정당 해산 헌법재판소가 12월 19일 법무부의 청구를 받아들여 통합진보당 해산을 결정했다. 헌법 재판관 9명 중 8명의 압도적인 찬성으로 통진당은 강제 해산됐으며, 소속 국회의원 5명의 의원직도 모두 박탈됐다. 우리나라 헌정 사상 헌재 결정으로 정당이 해산된 첫 사례로, 통진당은 창당 3년 만에 사실상 '공중분해' 됐다. 이 결정 이후 낡은 진보가 아닌 건강한 대안을 제시할 수 있는 새로운 진보정당이 나와야 한다는 목소리가 높다 이번 심판의 심판대상은 통진당의 목적이나 활동이 민주적 기본질서에 위배되는지 여부, 해산 결정을 선고할 것인지 여부, 소속 국회의원에 대한 의원직 상실을 선고할 것인지 여부 등이었다. 통진당 전신인 민노당의 목적과 활동은 심판대상에 포함하지 않고 판단 자료로만 활용됐다. 헌재는 "통진당 주도 세력은 우리 사회가 특권적 지배계급이 주권을 행사하는 거꾸로 된 사회라는 인식을 가졌다"며 "폭력을 행사해 자유민주주의 체제를 전복하고 헌법 제정에 의한 새로운 진보적 민주주의 체제를 구축해 집권한다는 입장을 가졌다"고 판단했다. 헌재는 "정당해산 결정으로 민주적 기본질서를 수호함으로써 얻을 수 있는 법익은 통진당 정당활동 자유의 근본적 제약이나 민주주의의 일부 제한이라는 불이익에 비해 월등히 크다"고 밝혔다. 한편 중앙선거관리위원회는 헌법재판소가 정당해산 결정을 내린 통합진보당 소속 비례대표 지방의원 6명에 대해 의원직 상실을 결정했다.

2014-12-31 09:38:46 메트로신문 기자
기사사진
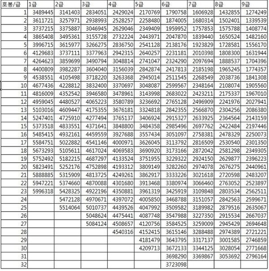
2015년 공무원봉급표… 3.8% 인상된 1급~9급 직급별 봉급은 얼마?

2015년 공무원봉급표… 3.8% 인상된 1급~9급 직급별 봉급은 얼마? 정부가 내년도 공무원 보수를 3.8% 인상 하겟다는 방침이 전해지면서 '2015년 공무원 봉급표'가 화제다. 포털등 각종 온라인 커뮤니티에는 누리꾼들이 3.8% 인상안을 근거로 작성한 '2015년 공무원 봉급표'가 게재돼 공무원들뿐만 아니라 공무원을 준비하고 있는 취업준비생들이 큰 관심을 보이고 있다. 해당 인상표는 '2014년 공무원 봉급표'에 인상률 3.8%를 적용한 것이다. 앞서 정부는 30일 정부세종청사에서 정홍원 국무총리 주재로 국무회의를 열고 공무원 처우 개선을 위해 내년도 공무원 보수를 3.8% 인상하는 내용의 '공무원 보수·여비 규정' 개정안을 심의·의결했다. 공무원 사기 진작, 물가·민간임금 등을 고려해 이같은 내용의 보수 인상안을 확정했다. 대통령은 내년도 2억504만6000원, 국무총리는 1억5896만1000원, 부총리 및 감사원장은 1억2026만3000원의 연봉을 받게 된다. 장관 및 장관급에 준하는 공무원은 1억1689만3000원, 인사혁신처장, 법제처장, 국가보훈처장 및 식품의약품안전처장은 1억1520만6000원, 차관 및 차관급에 준하는 공무원은 1억1352만3000원으로 연봉이 확정됐다. 병사 봉급도 올해에 이어 내년에 15% 인상되며 임용 전 교육기간(1년)인 경찰·소방 간부 후보생에 대해 매월 33만원씩 지급하던 봉급도 일반직 공무원 등과의 형평성을 고려해 136만원으로 인상하기로 했다. 정부는 또 실제보다 낮은 수준으로 책정됐던 국내외 숙박비 지원 상한액도 상향 조정했다. 특별시 및 광역시는 현재 5만원에서 서울 7만원, 광역시 6만원으로 기타 지역은 4만원에서 5만원으로 인상했다.

2014-12-31 09:35:47 김형석 기자
기사사진
[2014 결산]정계 -혼돈의 비선 정국…비주류 약진 새누리당·구심점 잃은 새정치연합

◆ 연말 정국 뒤흔든 '비선실세' 논란 박근혜 대통령의 '비선실세'로 거론된 정윤회씨 국정개입 의혹 파문이 연말 정국을 달구었다. 정씨와 '문고리 권력'으로 통칭되는 이재만·정호성·안봉근 청와대 비서관 3인방 대(對) 박지만 EG 회장의 권력암투설로까지 비화됐다. 청와대는 정씨 관련 청와대 문건을 처음 보도한 언론사와 경찰 출신 전직 행정관을 고소·수사 의뢰했고, 박 대통령도 의혹을 일축했다. 하지만 파문은 쉽게 가시지 않았다. 내부 공직기강 해이 문제까지 부각되면서 정치권에서 청와대 인적 쇄신론이 분출되는 계기가 됐다. ◆ 총리 후보 줄줄이 낙마…청와대의 인사 실패 '세월호 정국'을 수습하기 위해 박 대통령은 5월 국무총리 교체를 포함한 개각 카드를 꺼냈으나 2명의 총리 후보자가 연이어 낙마했다. 안대희 전 대법관은 변호사 고액 수임료 논란으로 6일 만에 사퇴했다. 문창극 전 중앙일보 주필은 과거 교회 강연에서 했던 발언이 '친일 사관' 논란에 휩싸이면서 후보로 거론된 지 2주 만에 물러났다. 결국 박 대통령은 사의를 밝힌 지 60일이 지난 정홍원 총리를 유임시키는 전례 없는 결정을 했다. ◆ 비주류 약진 새누리당 집권 2년차를 맞이한 새누리당의 2014년은 파란이 끊이지 않은 해였다. 7·14 전당대회에서 친박(친박근혜) 주류측 지원을 받은 서청원 최고위원을 제치고 주류측과 상대적으로 소원한 김무성 대표가 압도적 표차로 당선된 것은 이를 상징적으로 집약한 장면이다. '원조 친박'을 자임하지만 박근혜 대통령과 굴곡진 관계를 이어온 '비주류' 김 대표가 집권 2년차의 초입에서 집권 여당의 당권을 거머쥔 순간이기 때문이다. 박 대통령과 청와대를 향해 할 말은 하겠다고 공언한 김 대표는 취임 직후 김문수 전 경기지사를 혁신위원장으로 영입, 비주류 '문무 합작'이라는 말까지 만들어 내며 보수 혁신 드라이브를 걸고 나왔다. 탕평을 선언했지만 주요 당직에도 친이계 비주류 인사가 상당수 포진했다. 친이계로 분류되는 이군현 의원을 사무총장에 앉혔고 제1사무부총장도 친이계인 강석호 의원을 임명했다. 역시 친이계인 주호영 정책위의장까지 포함하면 이완구 원내대표를 제외한 당 3역이 모조리 비주류로 채워진 것이다. 집권 반환점을 돌아서는 내년 중반부터 새누리당의 권력 분화는 한층 가속화할 수밖에 없을 전망이다. ◆ 구심점 잃은 새정치연합 새정치민주연합은 격랑에 휩싸인 혼돈기를 보냈다. 제1야당의 존재감은 노선 싸움과 바닥을 기는 지지율에 가려졌고, 정권 탈환의 밑거름이 될 당의 재건 작업도 계파 힘겨루기에 눌려 속도를 내지 못했다. 대선 패배 후유증에서 벗어나지 못하던 민주당은 3월 독자세력화를 모색하던 안철수 전 대표를 품에 안는데 성공했다. 둘 다 '새정치'를 통합의 기치로 내세우긴 했지만 6·4 지방선거 승리라는 야권의 지상 과제 앞에서 불가피한 선택을 한 것으로 받아들여졌다. 제1야당은 새정치민주연합이란 간판을 달고 새 출발을 알렸지만 행로는 순탄치 못했다. 김한길-안철수 공동대표 체제는 세월호 참사로 여권이 코너에 몰린 상황에서 맞은 지방선거에서 무승부로 리더십에 타격을 입은 데 이어 7·30 재·보선에서는 최악의 참패를 당하며 붕괴됐다. 박영선 의원이 헌정사에서 여성으로는 처음으로 주요 정당의 원내 사령탑에 오르면서 뼈를 깎는 혁신을 주도할 비상대권을 받아들었지만 '조기 하차'를 피해가지 못했다. 이후 새정치연합은 문희상 의원을 다시 비대위원장으로 등판시키며 위기 수습을 시도했다.

2014-12-30 18:36:49 메트로신문 기자
선관위, 4·29 보궐선거 예비후보자 등록 시작

중앙선거관리위원회는 30일부터 내년 상반기 실시되는 4·29 국회의원 보궐선거의 예비후보자 등록을 시작했다고 밝혔다. 내년 4월 7일까지 선거인명부를 작성한 뒤 4월 7~11일 거소투표신고를 받고 4월 9~10일 후보자등록 신청을 받으며 4월 24~25일 이틀간 사전투표가 진행된다. 내년 4월 국회의원 보선은 서울 관악구을, 광주 서구을, 경기 성남시중원구 3곳에서 치러진다. 지난 19일 헌법재판소의 통합진보당 해산 결정에 따라 소속 지역구국회의원의 의원직이 상실된 3곳에서 실시되는 이번 국회의원 보선의 예비후보자 등록 접수는 후보자등록 신청개시일 전날인 내년 4월 8일까지 진행된다. 국회의원 보선에 예비후보자로 등록하려면 관할 선관위에 가족관계증명서, 전과 기록에 관한 증명서류, 정규 학력에 관한 증명서 등을 제출하고 기탁금으로 300만원을 납부해야 한다. 공무원 등 입후보가 제한되는 자리에 있는 사람이 예비후보자로 등록하려면 예비후보자 등록 신청 전까지 사직해야 한다. 예비후보자로 등록한 사람이 후보자로 등록하려면 후보자 등록 기간(2015년 4월 9~10일) 중 다시 등록해야 하며 예비후보자 등록을 하지 않았더라도 본 선거에 후보자 등록을 하면 출마할 수 있다.

2014-12-30 17:09:11 조현정 기자